Предмет: Алгебра,
автор: vdhbfb
помогите срочно 3 номера 7 класс по теме разложение многочленов на множители с помощью комбинации различных приемов желательно решить на листочке потом сфоткать зарание спасибо 40б. за лучший ответ )
Приложения:
Ответы
Автор ответа:
0
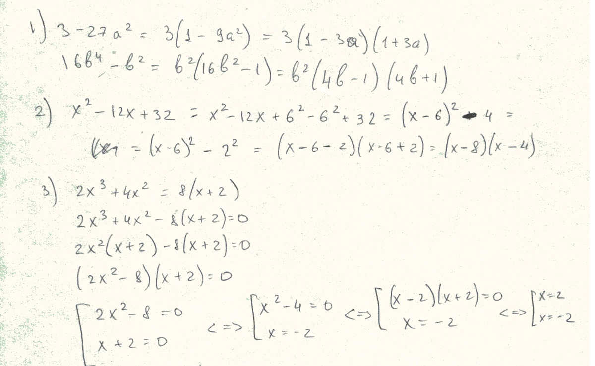
решение смотри на фото
Приложения:
Автор ответа:
0
так подойдёт, вроде видно
Приложения:
Похожие вопросы
Предмет: Литература,
автор: arinamarkarova
Предмет: Психология,
автор: FilosooF
Предмет: Химия,
автор: nastya5935
Предмет: Математика,
автор: debovaleksei