Предмет: Математика,
автор: lolyhka
Ребят,помогите,плес
поодробнооо
Приложения:
Ответы
Автор ответа:
0
1) (2x+3)√(3x-12)=0
ОДЗ: 3х-12≥0, 3х≥12, х≥4 , х∈[4; +∞)
2x+3=0, 2x=-3, x=-1.5, -1.5∉ОДЗ, значит не является корнем уравнения. 3х-12=0, 3х = 12, х=4, 4∈ОДЗ, значит 4- корень уравнения.
ответ: х=4
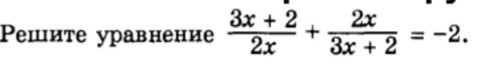
2) общий знаменатель: 2х(3х+2) умножим обе части уравнения на общий знаменатель: 9х²+12х+4+4х²=-12х²-8х
25х²+20х+4=0, (5х+2)²=0, 5х+2=0, х=-0,4
ответ: х=-0,4
3) 5х-28=0, ОДЗ: -х²+5х+6>0, x∈(-1;6)
x=5.6, 5.6∈(-1;6)
ответ: х=5,6
ОДЗ: 3х-12≥0, 3х≥12, х≥4 , х∈[4; +∞)
2x+3=0, 2x=-3, x=-1.5, -1.5∉ОДЗ, значит не является корнем уравнения. 3х-12=0, 3х = 12, х=4, 4∈ОДЗ, значит 4- корень уравнения.
ответ: х=4
2) общий знаменатель: 2х(3х+2) умножим обе части уравнения на общий знаменатель: 9х²+12х+4+4х²=-12х²-8х
25х²+20х+4=0, (5х+2)²=0, 5х+2=0, х=-0,4
ответ: х=-0,4
3) 5х-28=0, ОДЗ: -х²+5х+6>0, x∈(-1;6)
x=5.6, 5.6∈(-1;6)
ответ: х=5,6
Похожие вопросы
Предмет: История,
автор: vnuckovaveronika470
Предмет: Информатика,
автор: aidosmuratov001
Предмет: Окружающий мир,
автор: SlimeBerry
Предмет: Алгебра,
автор: daniya1966