Предмет: Математика,
автор: tvioet
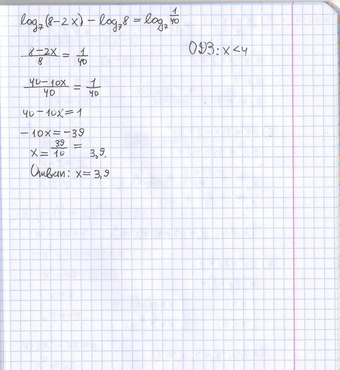
log7 (8 - 2x) - log7 8 = log7 1/40
Ответы
Автор ответа:
0
Держи. Эта задача решается с помощью уравнивания выражений в логарифме.
Приложения:
Автор ответа:
0
спасибо большое
Похожие вопросы
Предмет: Українська мова,
автор: zaporozhan170108
Предмет: Химия,
автор: odkdd
Предмет: Другие предметы,
автор: Аноним
Предмет: Математика,
автор: Викаvfgvffkvbdf