Предмет: Математика,
автор: natabosa
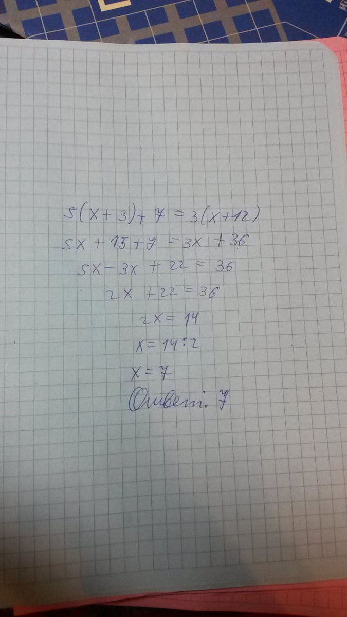
Реши уравнение 5(x+3)+7=3(x+12)
Ответы
Автор ответа:
0
то чувство когла печешься за учебу другого больше чем за свою :D
Приложения:
Похожие вопросы
Предмет: География,
автор: Аноним
Предмет: Русский язык,
автор: zilolaadelbekova
Предмет: Русский язык,
автор: elza1371
Предмет: География,
автор: Kislota12