Предмет: Алгебра,
автор: Тажбенова1
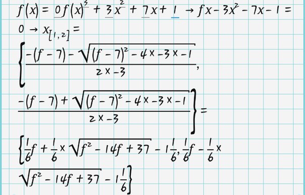
f(x)=0 f(x)=x^3+3x^2+7x+1
Ответы
Автор ответа:
0
f(x)=0 f(x)=x^3+3x^2+7x+1
Приложения:
Похожие вопросы
Предмет: Математика,
автор: jandriychuk809
Предмет: Математика,
автор: lanakryglova
Предмет: Информатика,
автор: ffcjknysqfyjybv
Предмет: Математика,
автор: Лерочка1761