Предмет: Математика,
автор: веркп
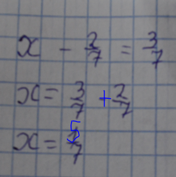
X -2/7=3/7 решить уровнение
Ответы
Автор ответа:
0
смотри в приложении!!!
Приложения:
Похожие вопросы
Предмет: Русский язык,
автор: pelmesheeek
Предмет: Русский язык,
автор: Nastyabild
Предмет: Русский язык,
автор: aliskendir182
Предмет: Математика,
автор: Аноним