Предмет: Алгебра,
автор: fffffggttt
паже помогите пажжжжже
Приложения:
Ответы
Автор ответа:
0
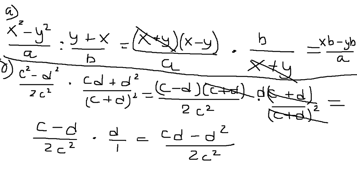
Вот держи. Дальше не сокращается.
Приложения:
Похожие вопросы
Предмет: Алгебра,
автор: noname1277
Предмет: Математика,
автор: ohccy
Предмет: Математика,
автор: Carmiiiiiiiiiii
Предмет: Математика,
автор: anastasiyakkkbb
Предмет: Математика,
автор: geykooksana