Предмет: Алгебра, автор: romanovavolgog

Ребят, срочно, во вложение решите номер

Приложения:

Ответы

Автор ответа: dasha00000000000
0

Решение прикреплено файлом!

Приложения:
Автор ответа: irkarom
0

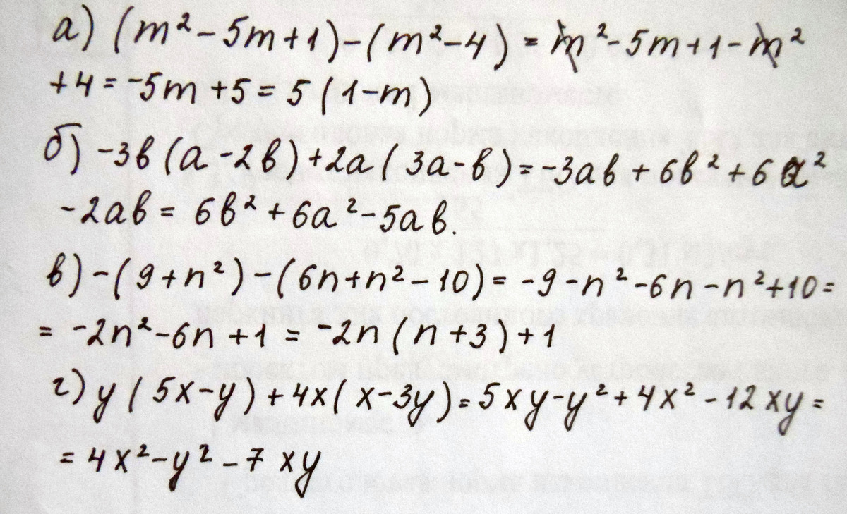
(m²-5m+1)-(m²-4)=m²-5m+1-m²+4=-5m+5=-5(m-1)

-3b(a-2b)+2a(3a-b)=-3ab+6b²+6a²-2ab=-5ab+6(b²+a²)

-(9+n²)-(6n+n²-10)=-9-n²-6n-n²+10=-2n²-6n+1=-(2n²+6n-1)

y(5x-y)+4x(x-3y)=5xy-y²+4x²-12xy=-7xy-(y²-4x²)=-7xy-(y-2x)(y+2x)

Приложения:
Похожие вопросы
Предмет: География, автор: kseniabrylkova06
Предмет: Биология, автор: Аноним