Предмет: Алгебра,
автор: Аноним
Решите пожалуйста !! Очень надо!!
Приложения:
Ответы
Автор ответа:
0
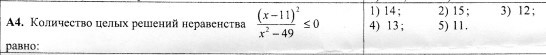
(x-1)²/(x²-49)<=0<br />Одз: х²-49≠0 откуда х≠±7<br />Приравниваем к нулю и получаем<br />Х=1<br /><br />__+__(-7)__-___[1]__-__(7)___+__><br /><br />Решение неравенства х € (-7;7)<br /><br />Количество решений: 13
Похожие вопросы
Предмет: География,
автор: maksdaniel024
Предмет: Геометрия,
автор: vadimmazurov4
Предмет: Алгебра,
автор: rorochan1999
Предмет: Математика,
автор: mykhov2003
Предмет: Информатика,
автор: missashepkova