Предмет: Физика,
автор: ирочка341
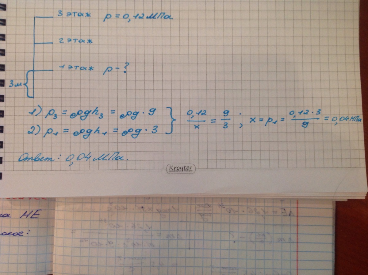
на третьем этаже многоэтажного дома давление воды в водопроводе равно 0.12 МПа Чему равняется давление на первом этаже если высота этажа 3 м
Ответы
Автор ответа:
0
Ответ: 0,04 МПа
Решение на фотографии
Решение на фотографии
Приложения:
Похожие вопросы
Предмет: ОБЖ,
автор: aleekkssandraa
Предмет: История,
автор: kinzokukuro
Предмет: Математика,
автор: bakduletsltanbaj
Предмет: Математика,
автор: artem060584