Предмет: Алгебра,
автор: Аноним
Срочно!!!Помогите решить.
Приложения:
Ответы
Автор ответа:
0
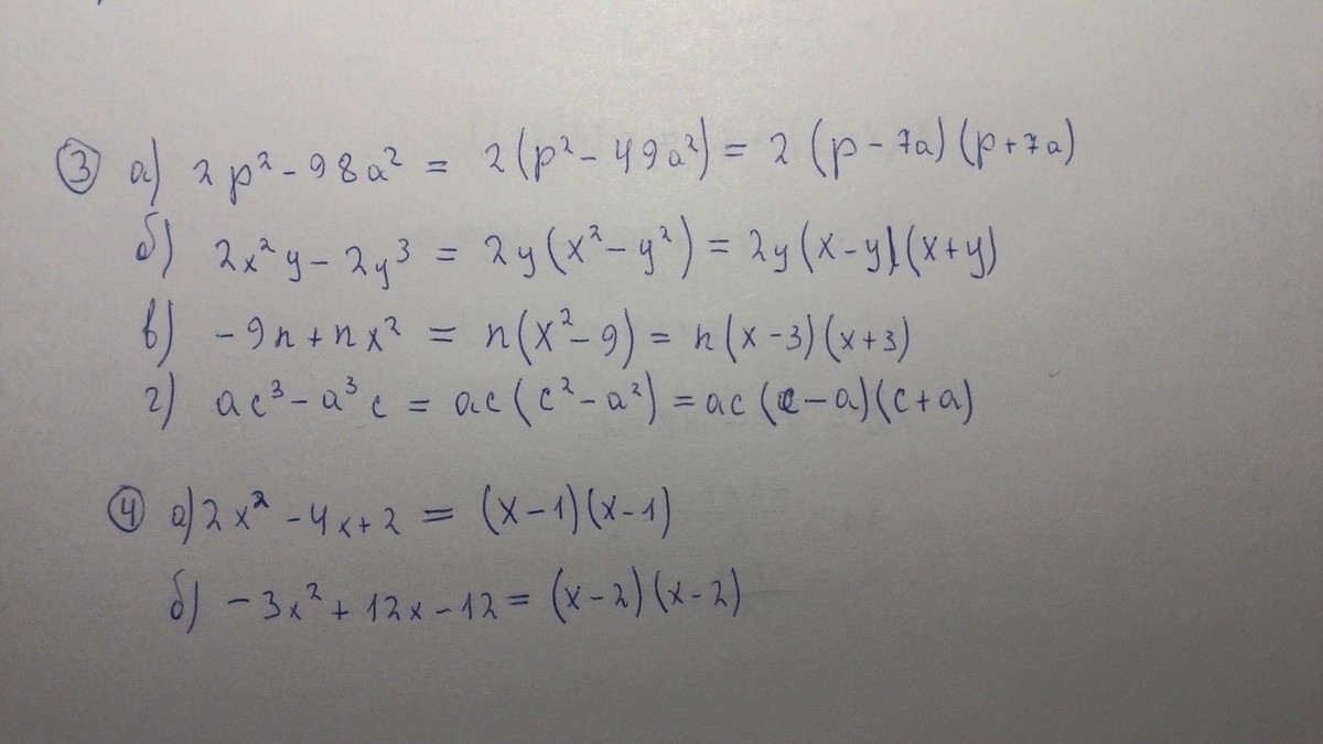
Решение прилагается.
Приложения:
Похожие вопросы
Предмет: Русский язык,
автор: bauyrzankyzyerkenaz6
Предмет: Алгебра,
автор: 08alina0817
Предмет: Алгебра,
автор: tatananecaeva033
Предмет: Физика,
автор: romakoshevenko
Предмет: Математика,
автор: Sany9110