Предмет: Математика,
автор: GeeGerass
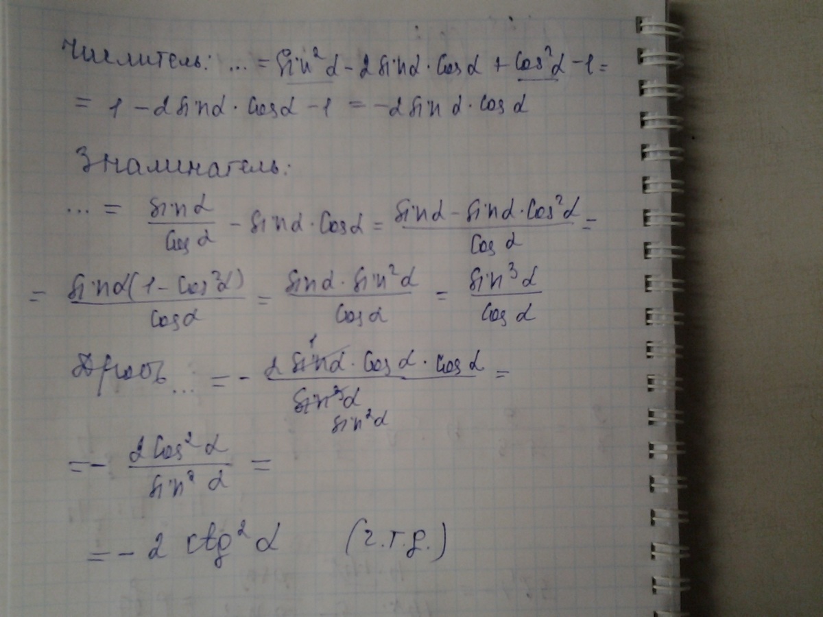
((sin a - cos a)^2 - 1)/(tg a - sin a • cos a) = -2ctg^2 a
Ответы
Автор ответа:
0
Применены: формула квадрата разности, тригонометрические формулы
Приложения:
Похожие вопросы
Предмет: Информатика,
автор: surtaevaulia34
Предмет: Английский язык,
автор: minlezara
Предмет: Английский язык,
автор: bagitzhanovna04
Предмет: Математика,
автор: lizpol