Предмет: Алгебра,
автор: servicepack21
Нужна ваша помощь! 90 баллов!
Приложения:
Ответы
Автор ответа:
2
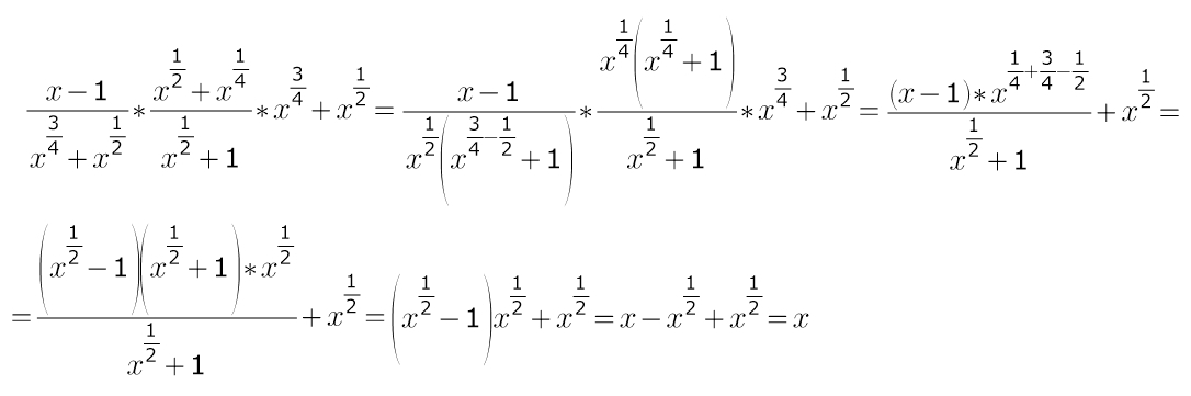
1) В числителе общий множитель, в знаменателе разность квадратов

2) В числителе разность кубов, в знаменателе разность квадратов

3) Домножаем числитель и знаменатель одновременно на

4) Раскрываем квадрат разности

5) В 1 дроби в числителе разность квадратов, в знаменателе выносим общий множитель.
Во 2 дроби в числителе выносим общий множитель.




2) В числителе разность кубов, в знаменателе разность квадратов
3) Домножаем числитель и знаменатель одновременно на
4) Раскрываем квадрат разности
5) В 1 дроби в числителе разность квадратов, в знаменателе выносим общий множитель.
Во 2 дроби в числителе выносим общий множитель.
Автор ответа:
2
использованы формулы:
разность квадратов, разность кубов, квадрат двучлена))
за скобки удобнее выносить общий множитель с меньшим показателем степени...
разность квадратов, разность кубов, квадрат двучлена))
за скобки удобнее выносить общий множитель с меньшим показателем степени...
Приложения:
Похожие вопросы
Предмет: Геометрия,
автор: kirakkkkkkkk
Предмет: Математика,
автор: denisukmasha11
Предмет: Биология,
автор: serbinanada555
Предмет: Русский язык,
автор: Makc77887