Предмет: Математика,
автор: sasha1601
С пешением ( в столбиках)
(-9,18 : 3,4 - 3,7)• 2,1 + 2,04
Ответы
Автор ответа:
1
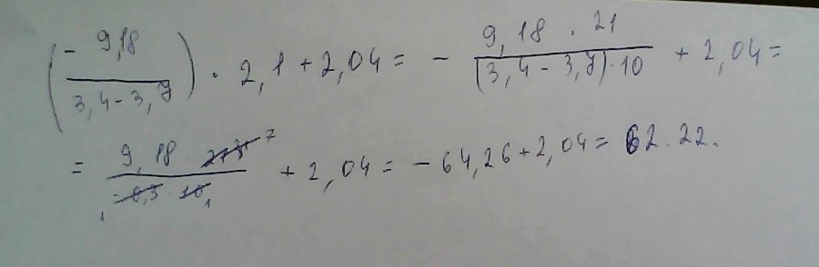
Все на фото) Удачи))))))))))
Приложения:
Автор ответа:
1
( -9,18 / 3,4 - 3,7 ) * 2,1 + 2,04 = -11,4
1) -9,18 / 3,4 = -2,7
2) -2,7 - 3,7 = -( 2.7 + 3.7 ) = -6,4
3) -6,4 * 2,1 = -13,44
4) -13,44 + 2,04 = -( 13.44 - 2.04 ) = -11,4
1) -9,18 / 3,4 = -2,7
2) -2,7 - 3,7 = -( 2.7 + 3.7 ) = -6,4
3) -6,4 * 2,1 = -13,44
4) -13,44 + 2,04 = -( 13.44 - 2.04 ) = -11,4
Похожие вопросы
Предмет: Английский язык,
автор: sachavskayanastya
Предмет: Геометрия,
автор: farangiz0002010
Предмет: Обществознание,
автор: raoososo
Предмет: Химия,
автор: mo92