Предмет: Математика,
автор: TheBossKiti
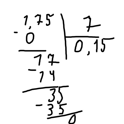
1,75:7в столбик плиз
Ответы
Автор ответа:
1
Вот, вроде так)0)0)0)
TheBossKiti:
как?
фотография не прикрепилась :D
Там 0,25 получится.
печалька
ну и так спасибо
Автор ответа:
3
Готово, ловите ....
...............................
...............................
Приложения:
Ой, там 0, 25,я не так написала, ссорян
ошибочка вышла. будет 0,25
а еще сможешь столбиком 0,48:6=?13,2:24
Похожие вопросы
Предмет: Русский язык,
автор: ICEgg11
Предмет: Геометрия,
автор: oksanastacuk327
Предмет: Физика,
автор: Prostogirrrl
Предмет: Физика,
автор: tigranmoloi1
Предмет: Русский язык,
автор: Ahe12