Предмет: Алгебра,
автор: milashev4enko2
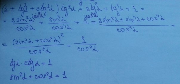
РЕШИТЕ ПОДРОБНО!!!!!!!!
Приложения:
Ответы
Автор ответа:
0
смотри решение на фотографии.
Приложения:
Похожие вопросы
Предмет: Физика,
автор: arinaarina134567329
Предмет: Литература,
автор: Artyom4iKl
Предмет: Английский язык,
автор: YouBad1092
Предмет: Английский язык,
автор: Аноним
Предмет: История,
автор: Superiorproteus