Предмет: Математика,
автор: tto1309
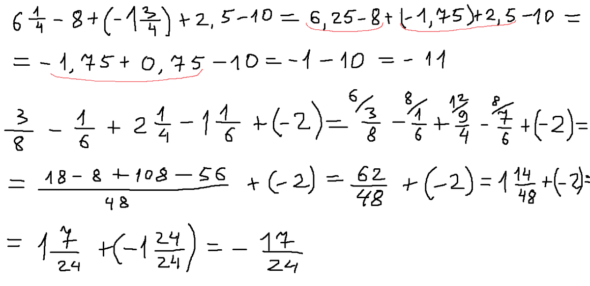
6 1/4-8+(-1 3/4)+2,5-10 и 3/8-1/6+2 1/4-1 1/6+(-2) Помогите решить с объяснением. 6 1/4-это 6 целых 1/4 и т.д. с остальными такими числами.Пожалуйста!!!!Очень нужно!!!!
Ответы
Автор ответа:
0
решение на фото)))))))))))
Приложения:
Похожие вопросы
Предмет: Қазақ тiлi,
автор: narutikoo
Предмет: Математика,
автор: fatimaazimhanova2
Предмет: История,
автор: duck3131
Предмет: История,
автор: SunriseVsDur
Предмет: Математика,
автор: olhovaru