Предмет: Алгебра,
автор: andriy144
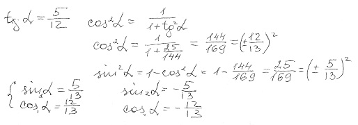
Відомо, що тангенс кута а дорівнює 5 поділено рискою дробу на 12. Знайдіть сінус і косинус кута а.
Ответы
Автор ответа:
0
________________________________
Приложения:
Похожие вопросы
Предмет: Математика,
автор: zdaw141
Предмет: Физика,
автор: ilyassamatovich
Предмет: Математика,
автор: aidatokenova5
Предмет: Литература,
автор: jinkoo
Предмет: Биология,
автор: antipka31