Предмет: Алгебра, автор: kosoferuh

Помогите решить пожалуйста очень срочно
с меня 34 бала

Приложения:

Ответы

Автор ответа: bearcab
0
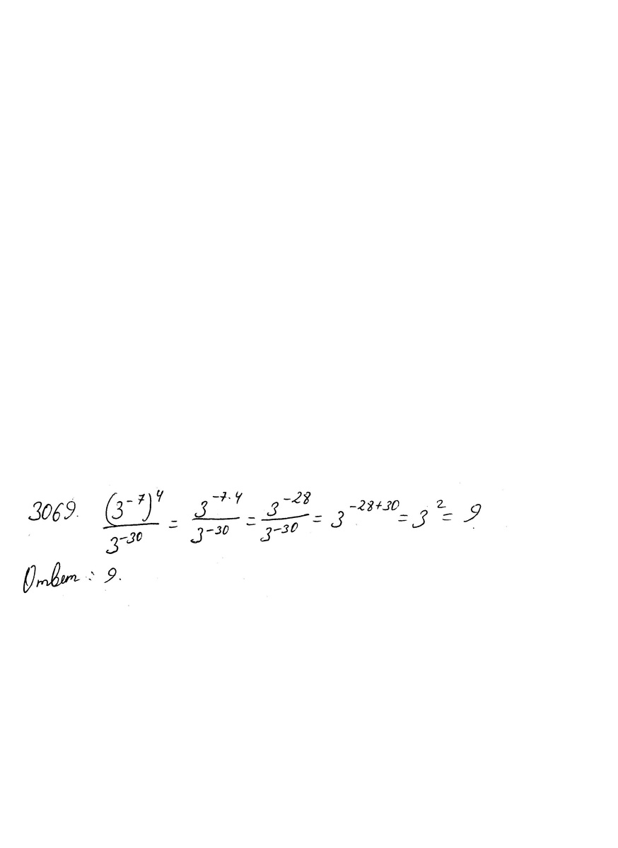
решение в приложении
Приложения:
Похожие вопросы
Предмет: Английский язык, автор: bipo26
Прошу помочь у меня сор по английскому, фигню не писать пожалуйста




4. Put the verbs into the Past Continious. We____ basketball at 6 o’clock last Sunday. *
a) were playing
b) was playing
c) did play
5. Put the verbs into the Past Continious. She____ with her friend for forty minutes yesterday. *
a) was talking
b) were talking
c) talked
6. Put the verbs into the Past Continious. You____ the window in the afternoon yesterday. *
a) washed
b) were washing
c) were washed
7.Put the verbs into the Past Simple. Anna (to have) a shower this morning *
a) was having
b) did have
c) had
8. Put the verbs into the Past Simple. They (to go) at work by bus last morning *
a) was going
b) went
c) were going
9. Put the verbs into the Past Simple. Cats (to drink) milk yesterday *
a) were drinking
b) drank
c) didn^t drank
10) Put the verbs into the Past Simple. ____you __your last holidays? *
) Enjoyed
b) Was enjoying
c) Did you enjoy
11) Write the First conditional sentences. If we … at 7 o’clock, we … on time. *
a)will leave\arrive
b) leave \will arrive
c) leaves \ arrives
12) If Bob … a good job, he … a new car. *
a) will get \ buy
b) get\ buy
c) gets \ will buy
13) If you … wine, you … sleepy. *
a) won’t drink/ don’t feel/
b) don’t drink/ won’t feel
c) doesn’t drink\ doesn’t feel
14) The child … crying if the toy …. *
a) will start/ breaks
b) start/ will break
c) starts\ break
15 ) We … to the beach if the weather …sunny tomorrow *
a) will go/ is
b) go/ be
c) goes\ will be​
Предмет: Математика, автор: aigulnur999