Предмет: Химия,
автор: acar
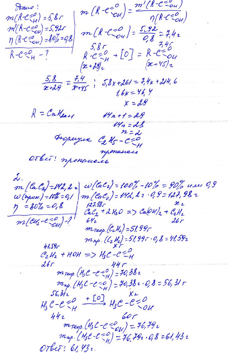
1: При окислении 5,8 г альдегида получено 5.92 г кислоты , что составляет 80% от практически возможного . Найти формулу альдегида .
2: Определить массу уксусной кислоты полученной из 142,2 карбида кальция, содержащего 10% примесей . Практический выход на каждой стадии составляет 80%.
Ответы
Автор ответа:
0
Решение задач см. в приложении
Приложения:
Похожие вопросы
Предмет: Алгебра,
автор: ata221
Предмет: Другие предметы,
автор: Аноним
Предмет: История,
автор: Yato4ka07
Предмет: Обществознание,
автор: C999AA
Предмет: Алгебра,
автор: АОанна