Предмет: Информатика,
автор: mk678
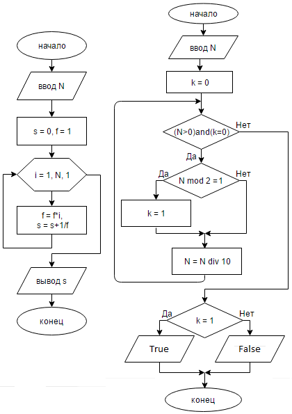
Нарисовать блок-схему
Помогите, прошу! с:
Приложения:
Ответы
Автор ответа:
0
Блок-схемы - в прилагаемом файле.
Приложения:
Похожие вопросы
Предмет: Математика,
автор: aleksandrmensov916
Предмет: Химия,
автор: galiullina85286
Предмет: Алгебра,
автор: ritppoosiya
Предмет: География,
автор: kiraguashka
Предмет: Геометрия,
автор: malik777