Предмет: Алгебра,
автор: kadet31610
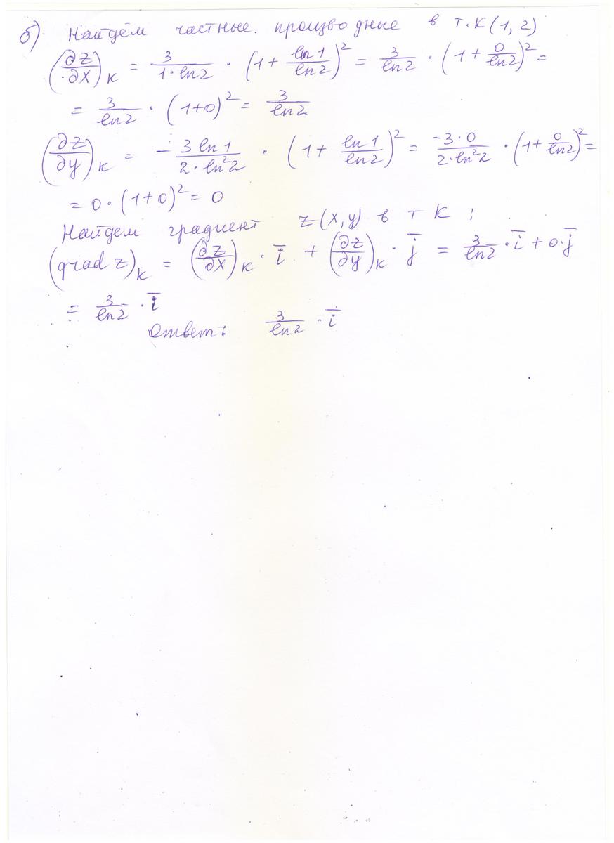
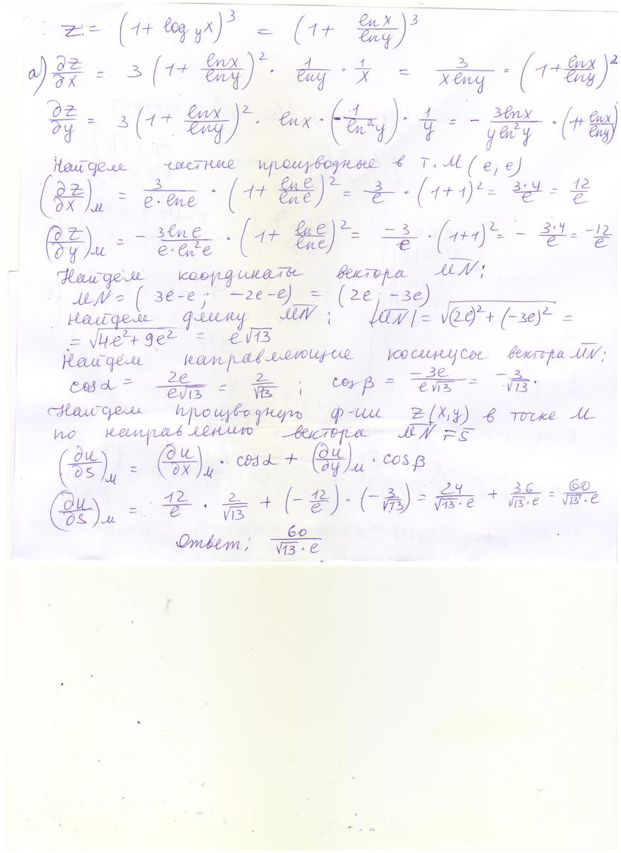
дана функция (фото) нужна помощь
Приложения:
Ответы
Автор ответа:
0
смотри приложенный файл
Приложения:
Автор ответа:
0
спасибо
Похожие вопросы
Предмет: История,
автор: megamozg80
Предмет: История,
автор: gulnarkasenova85
Предмет: Английский язык,
автор: Lavi165
Предмет: Математика,
автор: umalatovibi112
Предмет: Математика,
автор: lotra