Предмет: Алгебра,
автор: Bitard410
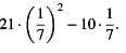
Найдите значение выражения
Приложения:
Ответы
Автор ответа:
0
(1/7)^2-10*1/7=1/49-10/7(находим НОЗ)=(1-70)/49=-69/49
Похожие вопросы
Предмет: Английский язык,
автор: zakonurlankyzy167
Предмет: Физика,
автор: iurchenkonika87
Предмет: Геометрия,
автор: Notttt
Предмет: Математика,
автор: MrKiri4
Предмет: Математика,
автор: samarinadashenka