Предмет: Алгебра,
автор: Кристинаа4587
помогите пожалуйста
Приложения:
Ответы
Автор ответа:
0
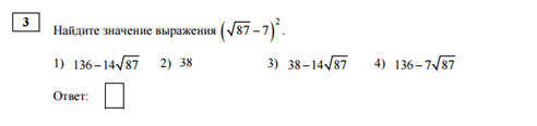
(a-b)^2 = a^2 -2ab + b^2, получаем
(√87 - 7)^2 = √87^2 - 2*√87*7 + 7^2 = 87 - 14√87 + 49 = 38 - 14√87
(√87 - 7)^2 = √87^2 - 2*√87*7 + 7^2 = 87 - 14√87 + 49 = 38 - 14√87
EvriUm:
87+49=136
Автор ответа:
0
решение смотри на фотографии
Приложения:
Похожие вопросы
Предмет: Математика,
автор: Muko1a
Предмет: Українська література,
автор: agafonovaolena01
Предмет: Физика,
автор: karinakisel58
Предмет: Химия,
автор: katya6551
Предмет: Математика,
автор: lizanetliza