Предмет: Алгебра,
автор: кисуня32
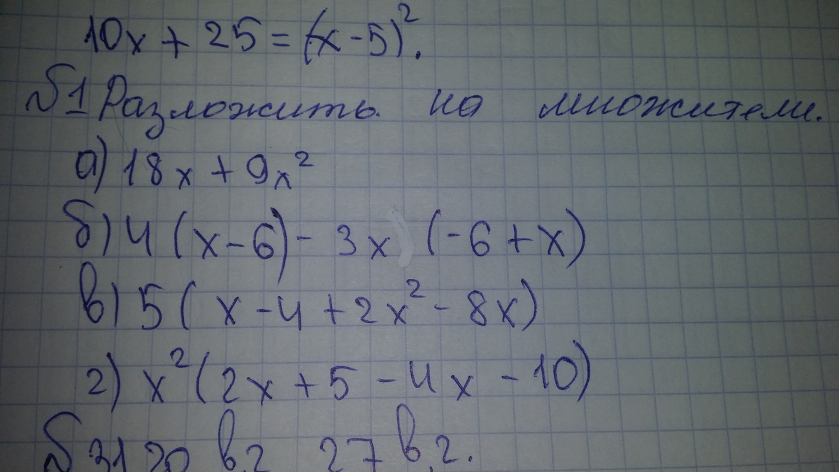
1 задание, пожалуйста.
Приложения:
Ответы
Автор ответа:
0
Вот точно правильо но оостальное незнаю как решить
Приложения:
Автор ответа:
0
Незачто
Автор ответа:
0
последнее выражение раскладывается по тому же принципу, что и во втором//////////////////////////////////////////////////////////////////////////////////////////////////////////////////////////////////////////////////////////////////////////
Приложения:
Похожие вопросы
Предмет: Информатика,
автор: jukovmatvey0751
Предмет: Қазақ тiлi,
автор: zanelhazmuratova
Предмет: Қазақ тiлi,
автор: Аноним
Предмет: Математика,
автор: kristinaabakum
Предмет: География,
автор: fuks476