Предмет: Алгебра, автор: iswag

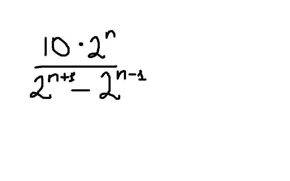
10*2^n/2^n+1-2^n-1 упростить 
+вложения там понятней 

Приложения:

Ответы

Автор ответа: Yena
0

frac{10*2^n}{2^{n+1}-2^{n-1}}=frac{10*2^n}{2^n(2-frac{1}{2})}=frac{10}{1,5}=6frac{2}{3}

 

/////////////////////////////////////////////////////////////////////////////////////////////////////////////////////////////

Похожие вопросы
Предмет: Геометрия, автор: maksimkucari56907
Предмет: Литература, автор: Аноним
Предмет: Химия, автор: Larek25