Предмет: Алгебра,
автор: XachicProsto
Ребят очень прошу помогите,заранее спасибо
Приложения:
Ответы
Автор ответа:
0
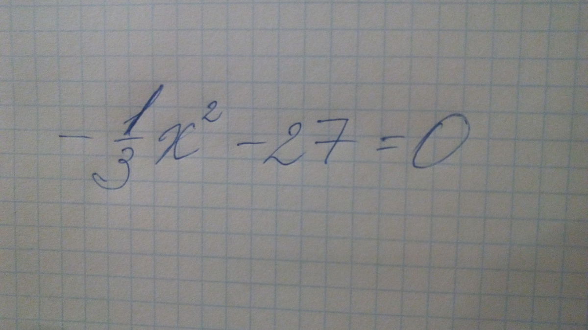
Решения нет
X 2=-81 т.к. x2 не может быть отрицательным числом
Автор ответа:
0
спасибо
Похожие вопросы
Предмет: Английский язык,
автор: basistukila77
Предмет: Алгебра,
автор: Аноним
Предмет: Литература,
автор: Saltanatm86mailru
Предмет: География,
автор: shyrik8
Предмет: Математика,
автор: HomyachokIra