Предмет: Алгебра,
автор: maenkoel
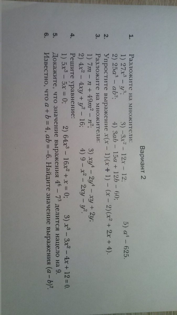
СРОЧНО!!! Решите пожалуйста!
От 1 номера до 4.
Номер 3 и 4: 1) и 2)
Номер 5 и 6 не надо! ;)
Приложения:
Ответы
Автор ответа:
0
вот что получилось 1, 5 не знаю
Приложения:
Автор ответа:
0
вау! спасибо огромное!!!)))))
Автор ответа:
0
во 2 не доразложили
Автор ответа:
0
1. a) 3^3x^3-y^3=
=(3x-y)(9х²+3xy+y²)
b) a(25a²-b²)=a(5a-b)(5a+b)
v) -3(х²+4x+4)= -3(x+2)²
г) 3ab+12b-15(a+4)=
=3b(a+4)-15(a+4)=
=(a+4)(3b-15)=3(a+4)(b-5)
д) a^4-5^4=(a²-5²)(a²+5²)=
=(a-5)(a+5)(a²+25)
2. x(х²-1)-(x^3-8)=
=x^3-x-x^3+8=8-x
3. a) (7m-n)+(7m-n)(7m+n)=
=(7m-n)(1+7m+n)
4. a) 5x(x²-1)=0
x=0, (x-1)(x+1)=0, x= +-1
b) x(8х-1)²=0, x=0
(8x-1)(8x-1)=0, x=1/8=0.125
или
64х²-16x+1=0
D=256-256=0
x=(16+0)/128=0.125
=(3x-y)(9х²+3xy+y²)
b) a(25a²-b²)=a(5a-b)(5a+b)
v) -3(х²+4x+4)= -3(x+2)²
г) 3ab+12b-15(a+4)=
=3b(a+4)-15(a+4)=
=(a+4)(3b-15)=3(a+4)(b-5)
д) a^4-5^4=(a²-5²)(a²+5²)=
=(a-5)(a+5)(a²+25)
2. x(х²-1)-(x^3-8)=
=x^3-x-x^3+8=8-x
3. a) (7m-n)+(7m-n)(7m+n)=
=(7m-n)(1+7m+n)
4. a) 5x(x²-1)=0
x=0, (x-1)(x+1)=0, x= +-1
b) x(8х-1)²=0, x=0
(8x-1)(8x-1)=0, x=1/8=0.125
или
64х²-16x+1=0
D=256-256=0
x=(16+0)/128=0.125
Приложения:
Автор ответа:
0
спасибо!!!!! ))))))
Автор ответа:
0
всегда пожалуйста, значок ^ обозначает в степени
Автор ответа:
0
ясно))))
Похожие вопросы
Предмет: Геометрия,
автор: cimba45g88i
Предмет: География,
автор: thesalix31
Предмет: Қазақ тiлi,
автор: tolegentolegen997
Предмет: География,
автор: Мария153713
Предмет: Математика,
автор: anfisa2002anfis