Предмет: Геометрия, автор: mn050501

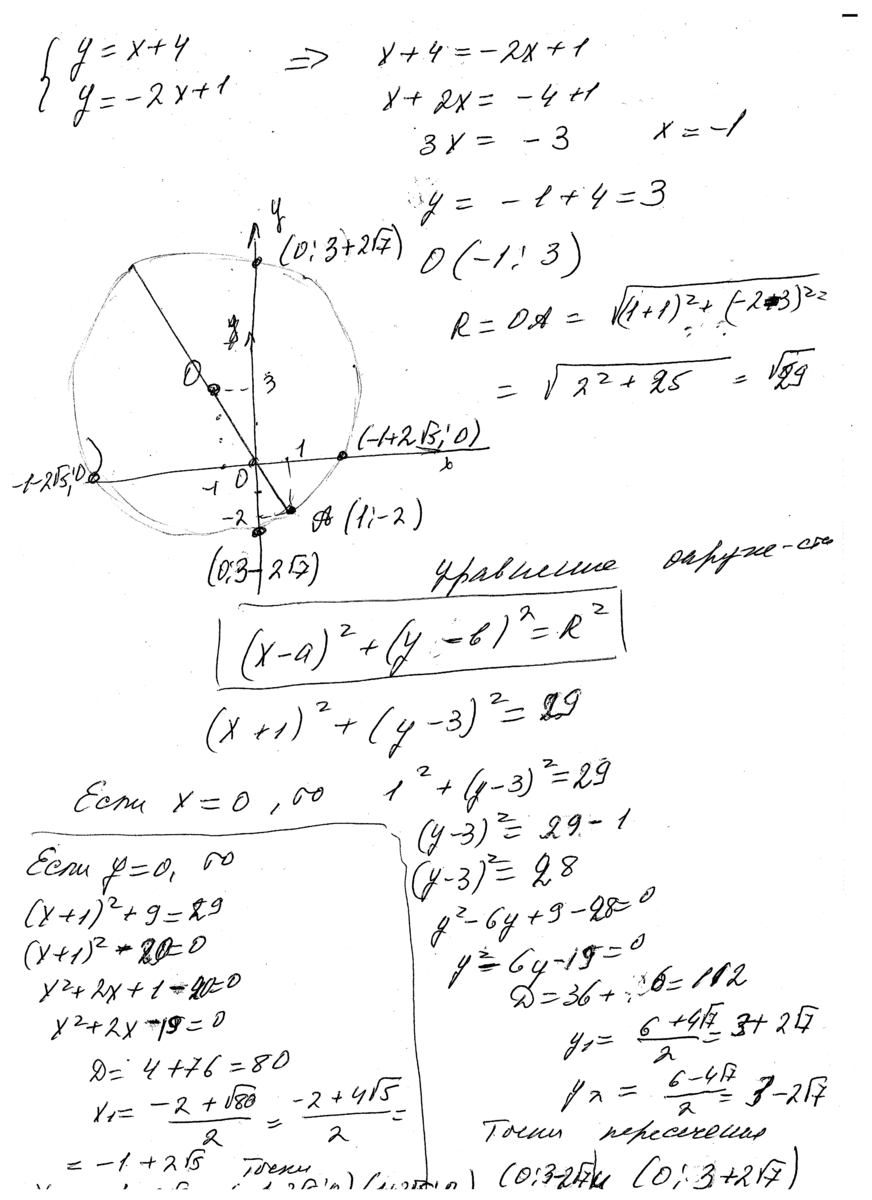
Срочно.Пожалуйста. Помогите решить! Задача 1. Прямые y=x+4 и y=-2x+1 пересекаются в точке O. a)Запишите уравнение окружности с центром в точке O, которая проходит через точку A(1:-2). б)Найдите точки пересечения этой окружности с осью Oy.

Ответы

Автор ответа: natali15medved
0
решение - в приложении, я нашла точки пересечения и с осью ох
Приложения:
Похожие вопросы
Предмет: Английский язык, автор: nike3082
Summative assessment for the unit

 

Task 1

The Millennium Games

This store is located in the Western part of New York and has existed for more than twenty years. “Millennium Games” helps visitors to enjoy the best games. Here you can find collectible and live card games, board games, role-playing games, table miniatures, pop culture, party games, and disc golf. This community believes that games should be a fun, social event. It should be an occasion to leave home and meet with friends. They hold a lot of game events and tournaments every week. People show their skills in games. The store has more than four thousand discs, so you can choose the color and weight, the type you need to improve your game. Disc Golf is one of the fastest growing sports in the country that offer people a cost-effective and relaxing sport.

 

 

Match the words and phrases 

1) collectible    

a) a competition for teams or single players in which a series of games is played, and the winners of each gameplay against each other until only one winner is left 


2) community          

b) an important event or ceremony

3) occasion

c) the people living in one particular area or people who are considered as a unit because of their common interests, social group, or nationality

4) tournaments

d) an item that some people want to collect as a hobby

 

       2. True( правда) ,  Fasle (ложь)   or DS (такого в тексте нет) ?? 

The store is located in the West of New York. 

Games should unite people together. 

In «The Millennium games», everyone can find the necessary disk. 

“The Millennium games” organizes not much competition.

 Americans were initiators of creating the store.

 

ПОМОГИТЕ ПРОШУУУУ​