Предмет: Математика,
автор: таня747
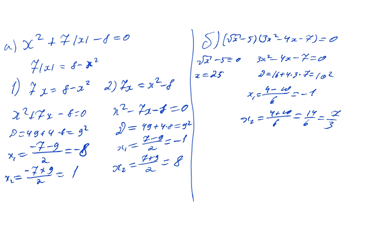
помогите пожалуйста решить!
Приложения:
Ответы
Автор ответа:
0
в Б обе скобки приравниваешь 0
Приложения:
Похожие вопросы
Предмет: Математика,
автор: ilasablin1490
Предмет: История,
автор: dog7778
Предмет: Английский язык,
автор: katrinatimoshenko
Предмет: Математика,
автор: Djeniaden
Предмет: Математика,
автор: Ангелел