Предмет: Математика,
автор: илья44444444
помогите решить плиз842
Приложения:
Ответы
Автор ответа:
0
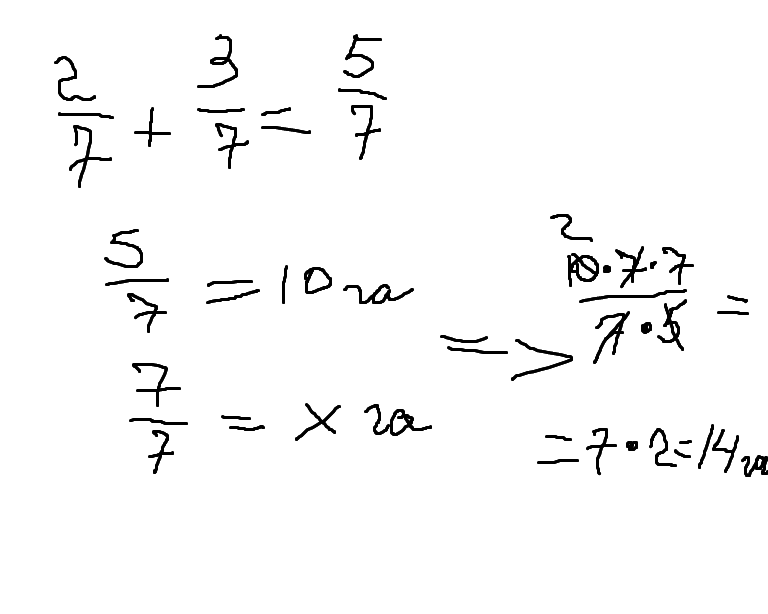
Решала через пропорцию. Надеюсь, так будет понятно.
Приложения:
Автор ответа:
0
помоги плиззз
Автор ответа:
0
С чем?
Автор ответа:
0
Со всем
Автор ответа:
0
Так я же написала решение
Автор ответа:
0
Можно по понятней плизз
Похожие вопросы
Предмет: Другие предметы,
автор: Аноним
Предмет: Русский язык,
автор: hhsuushdhd
Предмет: История,
автор: gulviratubektieva105
Предмет: Математика,
автор: nick9712
Предмет: Алгебра,
автор: kamalovamuza