Предмет: Геометрия,
автор: avilika
Помогите решить..
(нужно расписанное решение)
-----
Приложения:
Ответы
Автор ответа:
0
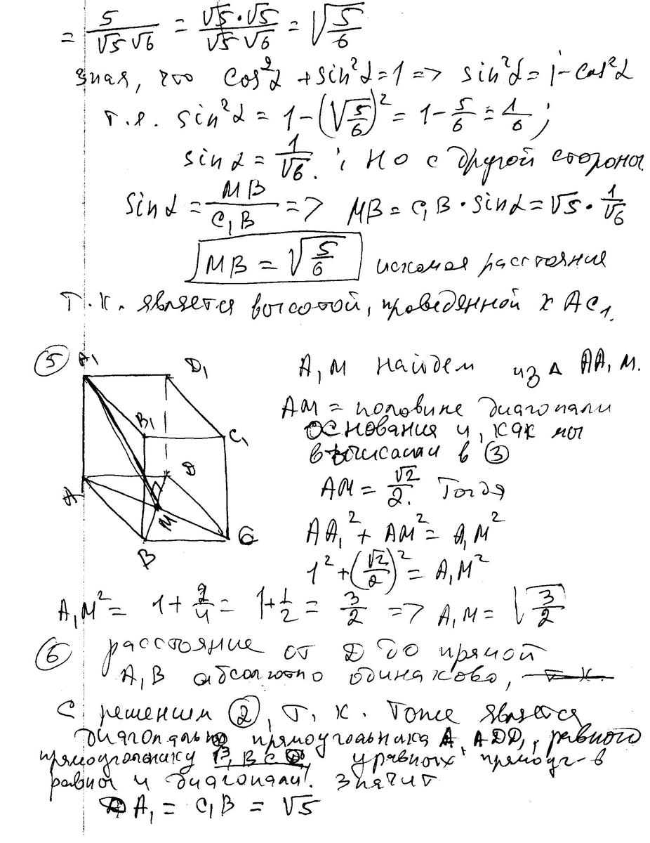
Решение в скане. Удачи
Приложения:
Похожие вопросы
Предмет: Математика,
автор: Аноним
Предмет: Литература,
автор: tuhliboevhiloldin6
Предмет: Математика,
автор: kekena1269
Предмет: Математика,
автор: klinova2004
Предмет: Алгебра,
автор: 2000с