Предмет: Алгебра,
автор: Аоександра9
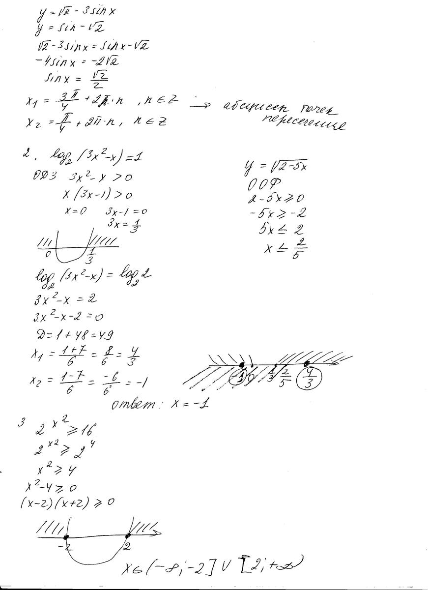
помогите пожалуйста 1,2 и 3; очень прошу! спасибо!
Приложения:
Ответы
Автор ответа:
0
на фотооооооооооооооооооооооооооооооооооооооооооооооооооооооооооооооооооо
Приложения:
Похожие вопросы
Предмет: Биология,
автор: iblysko
Предмет: Литература,
автор: Аноним
Предмет: Русский язык,
автор: Аноним
Предмет: Математика,
автор: latipova1986
Предмет: Математика,
автор: Аноним