Предмет: Математика,
автор: Ревета2860
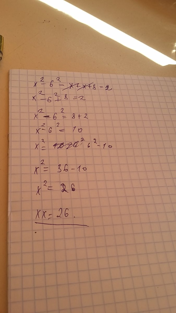
Решите уравнение (x-6)²-x+x+8)=2
Ответы
Автор ответа:
0
решение 26 х равно 26
Приложения:
Похожие вопросы
Предмет: Английский язык,
автор: ssultanars
Предмет: Русский язык,
автор: fyxezzz20
Предмет: Английский язык,
автор: adelinaaa64h
Предмет: Математика,
автор: oljwka
Предмет: Химия,
автор: максим1001