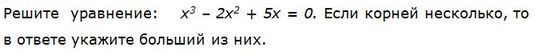
Предмет: Алгебра, автор: dashenkakravch

Помогите пожалуйста решить)))))))))))

Приложения:

Ответы

Автор ответа: krugly1981
0
Решение на фото)))))))))))))))))))))))
Приложения:
Похожие вопросы