Предмет: Алгебра,
автор: landishhoran
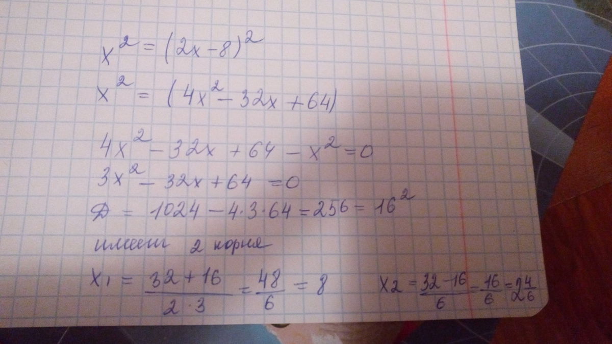
х^2=(2х-8)^2 ДАЮ 40 баллов плизз!!!!!
Ответы
Автор ответа:
0
была рада помочь))) в конце еще места не хватило 2 2/3
Приложения:
Автор ответа:
0
ответы не сходятся. там должно получится -4;2
Автор ответа:
0
как-то не получается, уже 2 раза переписываю!
Похожие вопросы
Предмет: Математика,
автор: lavrinenkokseniia
Предмет: Алгебра,
автор: Artur88888
Предмет: Алгебра,
автор: amraevadina2006
Предмет: Алгебра,
автор: denmanorwat