Предмет: Физика,
автор: klipeld
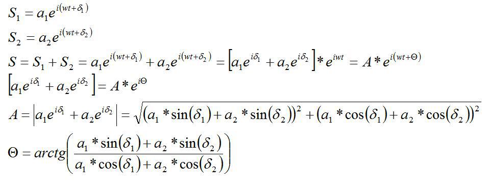
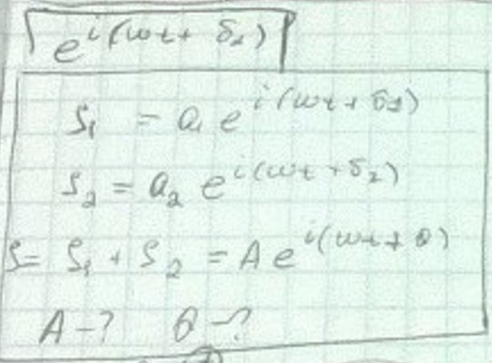
Оптика. Сложение колебаний. Найти амплитуду и сдвиг фазы. Полное условие в прикрепленном изображении.
Приложения:
Ответы
Автор ответа:
0
смотри решение во вложении
Приложения:
Похожие вопросы
Предмет: Алгебра,
автор: durakovakakij36
Предмет: История,
автор: vsevolodzahharjan
Предмет: Английский язык,
автор: nikita2092443
Предмет: Алгебра,
автор: DariaHoran
Предмет: Геометрия,
автор: someonebetterthanyou