Предмет: Алгебра,
автор: zaйчuk
помогите пж
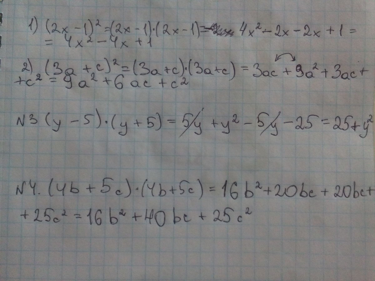
1)(2×-1)²
2)(3a+c)²
3)(у-5)·(у плюс 5)
4)(4b плюс 5с)·(4b+5c)
Ответы
Автор ответа:
0
это просто))))))))))))
Приложения:
Похожие вопросы
Предмет: Математика,
автор: даancc
Предмет: Математика,
автор: karinaturova
Предмет: Физика,
автор: faliyeva27gmailcom
Предмет: Математика,
автор: irinab1