Предмет: Математика,
автор: Аноним
Номер 1053 плиз 20 баллов даю
Приложения:
Ответы
Автор ответа:
0
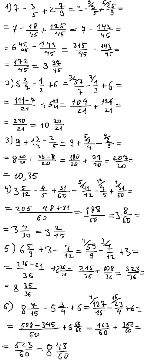
1)9ц 8/45
2)10ц 20/21
3)10ц 7/20
4)3ц 2/15
5)8ц 35/36
6)8ц 43/60
2)10ц 20/21
3)10ц 7/20
4)3ц 2/15
5)8ц 35/36
6)8ц 43/60
Автор ответа:
0
решение на фото))))))
Приложения:
Похожие вопросы
Предмет: Геометрия,
автор: Аноним
Предмет: История,
автор: satievadilnaz3
Предмет: Геометрия,
автор: zhamina14
Предмет: Математика,
автор: AdilyaYe
Предмет: Математика,
автор: kulishenkok19