Предмет: Алгебра,
автор: проки
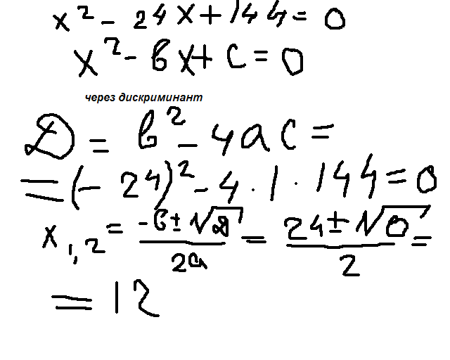
помогите решить уравнение, и объясните х ( в квадрате) -24х+144=0
Ответы
Автор ответа:
0
X^2-24x+144=0
D=b^2-4ac = 24^2-144*4=0
D=0
в уравнении 1 корень
X=-b/2a = 24/2 = 12
D=b^2-4ac = 24^2-144*4=0
D=0
в уравнении 1 корень
X=-b/2a = 24/2 = 12
Автор ответа:
0
такие уравнение можно решить методом дискриминанта, либо теоремой Виета в ответе получаются два разных корня, либо 2 совпавших корня(когда дискриминант равен нулю), если дискриминант получается отрицательным, то уравнение не будет иметь корней
Приложения:
Похожие вопросы
Предмет: Русский язык,
автор: amiralyonatamerlan
Предмет: Литература,
автор: taranenkoarina05
Предмет: Информатика,
автор: chuwAK2001
Предмет: Математика,
автор: Santix55
Предмет: Литература,
автор: Mar26