Предмет: Математика,
автор: вайтрам
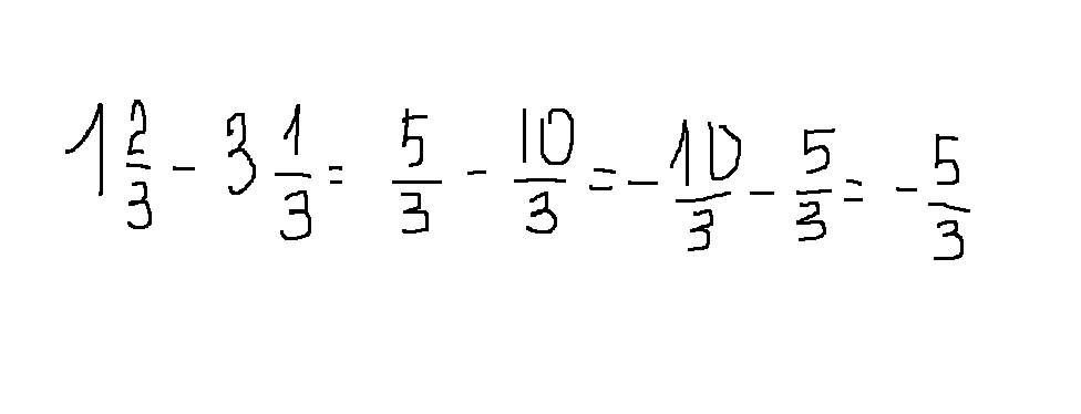
дробь одна целая две третьих : ( - три целых одна третья ) =
Ответы
Автор ответа:
0
каааак тооо таак))))))))))
Приложения:
Похожие вопросы
Предмет: Қазақ тiлi,
автор: rizabekovaadela
Предмет: Биология,
автор: asemamukanova2
Предмет: Английский язык,
автор: mira481
Предмет: Литература,
автор: qaz123654
Предмет: Литература,
автор: taisateplyh