Предмет: Алгебра, автор: Мимолетная

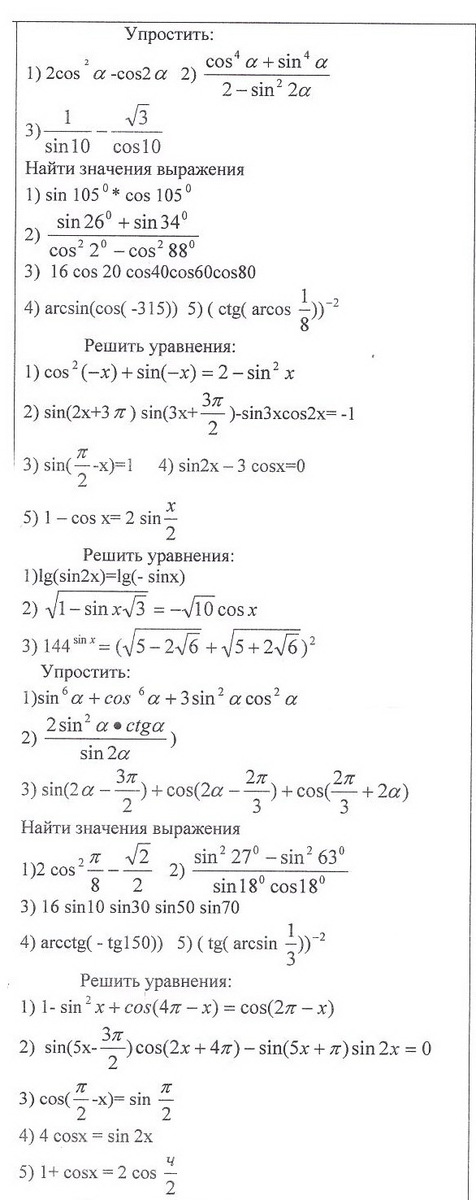
Помогите решить, буду рада, даже если сделаете одно задание) Решать уравнения не нужно:)

Приложения:

Ответы

Автор ответа: Аноним
0
Решения на фотографиях.
Приложения:
Автор ответа: Мимолетная
0
спасибо большое)
Похожие вопросы