Предмет: Алгебра,
автор: lyanova1
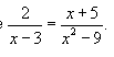
Решите уравнение пожалуйста
Приложения:
Ответы
Автор ответа:
0
..................................................................................
Приложения:
Похожие вопросы
Предмет: Русский язык,
автор: shinbella53
Предмет: Химия,
автор: ladykseniya1984
Предмет: География,
автор: Аноним
Предмет: Физика,
автор: nrumyantseva20