Предмет: Математика,
автор: ЛизаВерхоглядова
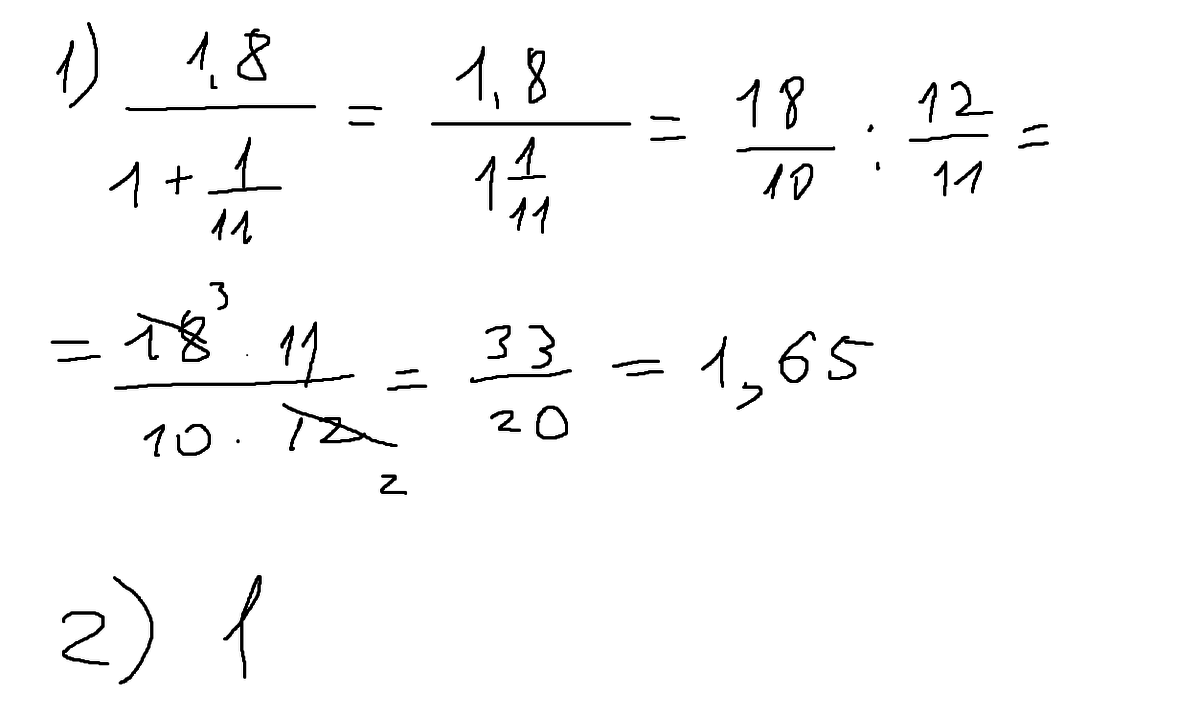
Решите номер 1 и 2(Они снизу справа)
Приложения:
Ответы
Автор ответа:
0
решение на фото)))))))))))
Приложения:
Автор ответа:
0
Спасибо огромное:)
Автор ответа:
0
пожалуйста)
Похожие вопросы
Предмет: Физика,
автор: werkewka9371
Предмет: Русский язык,
автор: nisathamidov
Предмет: Английский язык,
автор: ajtikulovdalilser
Предмет: Геометрия,
автор: FeKo
Предмет: Алгебра,
автор: Citrus1742