Предмет: Математика,
автор: ВлAдКа007
Решите пожалуйста по действия
Приложения:
Ответы
Автор ответа:
0
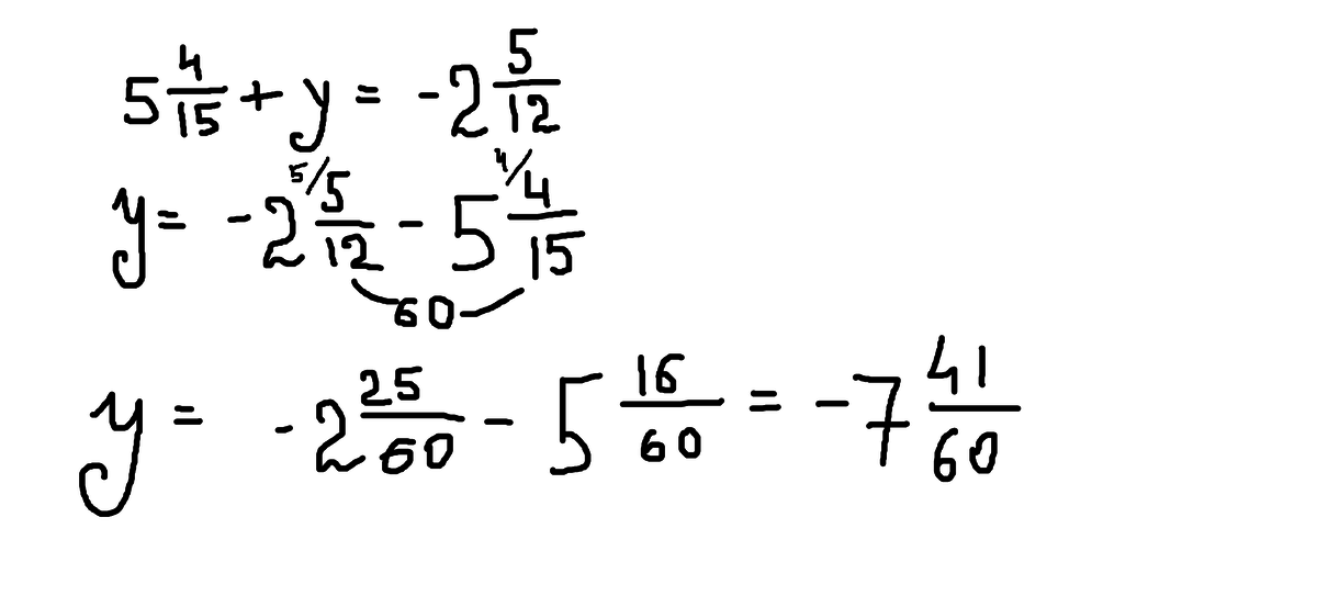
5 4/15+у=-2 5/12;
У=-2 5/12-5 4/15;
У=-7 25/60-16/60;
У=-7 41/60
Автор ответа:
0
))))))))))))))))))))))))))))))))))))))
Приложения:
Похожие вопросы
Предмет: Қазақ тiлi,
автор: umbetaliyevzhanna6
Предмет: Литература,
автор: mamyl1983
Предмет: Другие предметы,
автор: artemugaj383
Предмет: Математика,
автор: elenaabramenkov