Предмет: Алгебра,
автор: насрик5
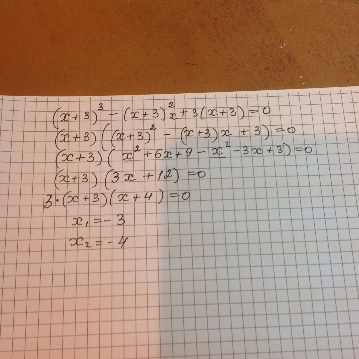
решите уравнение (х+3)^3-(x+3)^2*x+3(x+3)=0
Ответы
Автор ответа:
0
Решение смотри в приложении
Приложения:
Автор ответа:
0
( x + 3)^3 - x( x + 3)^2 + 3( x + 3) = 0
( x + 3)( (x + 3)^2 - x(x+ 3) + 3) = 0
( x + 3)( x^2+6x+9 -x^2 -3x + 3) = 0
( x + 3)( 3x + 12) = 0
x + 3 = 0
x = - 3
3x + 12 = 0
3x = - 12
x = - 4
Ответ: x = - 3, x= - 4.
( x + 3)( (x + 3)^2 - x(x+ 3) + 3) = 0
( x + 3)( x^2+6x+9 -x^2 -3x + 3) = 0
( x + 3)( 3x + 12) = 0
x + 3 = 0
x = - 3
3x + 12 = 0
3x = - 12
x = - 4
Ответ: x = - 3, x= - 4.
Приложения:
Похожие вопросы
Предмет: Химия,
автор: myatnayakonfetka22
Предмет: Қазақ тiлi,
автор: karinatanbetova
Предмет: Информатика,
автор: tartukhova
Предмет: Математика,
автор: DanielCarroll
Предмет: Информатика,
автор: hazan