Предмет: Математика,
автор: MariaFrolova363
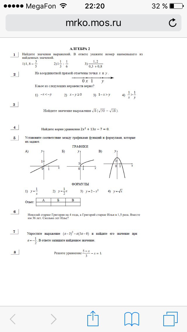
С 1 до 5 решить все в 1 пожалуйста
Приложения:
Ответы
Автор ответа:
0
2) 4 , 3) 8 , 4)- лень 1) 1,2; 8; 1,(09) 5)234 кажется
Автор ответа:
0
1) 1)=1,2 2)=8 найменьшее это3)= 1,09090909...
2) 1 верное
3) 8
5)А-2 б- в-3
6) илье 8 лет
все что есть
2) 1 верное
3) 8
5)А-2 б- в-3
6) илье 8 лет
все что есть
Похожие вопросы
Предмет: Английский язык,
автор: bogaryan77
Предмет: Русский язык,
автор: Аноним
Предмет: Математика,
автор: Аноним
Предмет: Информатика,
автор: evelinamar
Предмет: Алгебра,
автор: maximum092