Предмет: Алгебра,
автор: edik9709
определите координаты точек пересечения графиков функций у=5х-20 и у=10х-70
Ответы
Автор ответа:
0
Все очень просто)) y1=y2
5x-20=10x-70
5x=50
x=10
y=5*10-20=30
Ответ: (10:30)
Автор ответа:
0
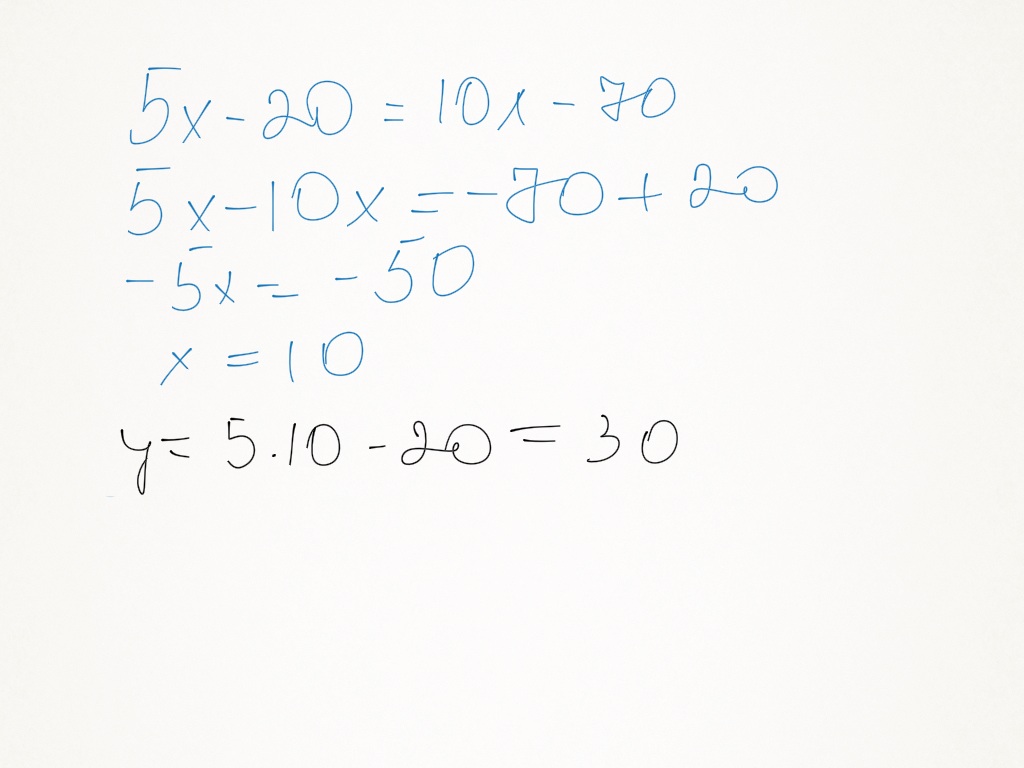
Решение задания во вложениях
Приложения:
Автор ответа:
0
y = 5x - 20 и y = 10x - 70
5x - 20 = 10x - 70
5x - 10x = -70 + 20
-5x = -50
x = 10
y = 5 * 10 - 20
y = 50 - 20
y = 30
Ответ: (10; 30)
Похожие вопросы
Предмет: Английский язык,
автор: Аноним
Предмет: Информатика,
автор: Аноним
Предмет: Окружающий мир,
автор: bocarovasona243
Предмет: Математика,
автор: катя1986