Предмет: Алгебра,
автор: Katya8007758
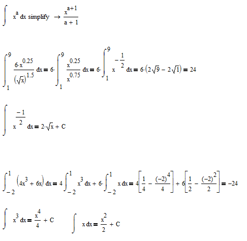
помогите вычислить интеграл
Приложения:
Ответы
Автор ответа:
0
Смотри рисунок, постарался все расписать
Приложения:
Похожие вопросы
Предмет: Математика,
автор: Аноним
Предмет: Қазақ тiлi,
автор: sauletabyldiev
Предмет: Геометрия,
автор: rinatlpp
Предмет: Геометрия,
автор: azatiko
Предмет: История,
автор: prostoyana