Предмет: Математика,
автор: Franklins
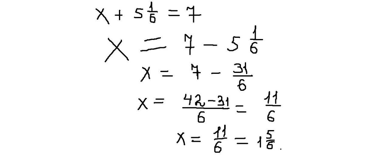
x + 5 целых и 1|6=7 ка решить уравнение
Ответы
Автор ответа:
0
вот полное решение. если не открывает скажите
Приложения:
Похожие вопросы
Предмет: Русский язык,
автор: EZPeezyWWS
Предмет: Английский язык,
автор: Danis731
Предмет: Литература,
автор: lesovoyvanya44
Предмет: Алгебра,
автор: anyaiv